chapter-four/0001~0099/0019.Remove-Nth-Node-From-End-of-List
19. Remove Nth Node From End of List
题目
Given the head of a linked list, remove the nth node from the end of the list and return its head.
Follow up: Could you do this in one pass?
Example 1:

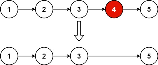
Input: head = [1,2,3,4,5], n = 2
Output: [1,2,3,5]
Example 2:
Input: head = [1], n = 1
Output: []
Example 3:
Input: head = [1,2], n = 1
Output: [1]
Constraints:
- The number of nodes in the list is
sz. 1 <= sz <= 300 <= Node.val <= 1001 <= n <= sz
题目大意
删除链表中倒数第 n 个结点。
解题思路
这道题比较简单,先循环一次拿到链表的总长度,然后循环到要删除的结点的前一个结点开始删除操作。需要注意的一个特例是,有可能要删除头结点,要单独处理。
这道题有一种特别简单的解法。设置 2 个指针,一个指针距离前一个指针 n 个距离。同时移动 2 个指针,2 个指针都移动相同的距离。当一个指针移动到了终点,那么前一个指针就是倒数第 n 个节点了。
代码
package leetcode import ( "github.com/halfrost/leetcode-go/structures" ) // ListNode define type ListNode = structures.ListNode /** * Definition for singly-linked list. * type ListNode struct { * Val int * Next *ListNode * } */ // 解法一 func removeNthFromEnd(head *ListNode, n int) *ListNode { dummyHead := &ListNode{Next: head} preSlow, slow, fast := dummyHead, head, head for fast != nil { if n <= 0 { preSlow = slow slow = slow.Next } n-- fast = fast.Next } preSlow.Next = slow.Next return dummyHead.Next } // 解法二 func removeNthFromEnd1(head *ListNode, n int) *ListNode { if head == nil { return nil } if n <= 0 { return head } current := head len := 0 for current != nil { len++ current = current.Next } if n > len { return head } if n == len { current := head head = head.Next current.Next = nil return head } current = head i := 0 for current != nil { if i == len-n-1 { deleteNode := current.Next current.Next = current.Next.Next deleteNode.Next = nil break } i++ current = current.Next } return head }