chapter-four/0100~0199/0160.Intersection-of-Two-Linked-Lists
160. Intersection of Two Linked Lists
题目
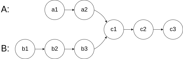
Write a program to find the node at which the intersection of two singly linked lists begins.
For example, the following two linked lists:

begin to intersect at node c1.
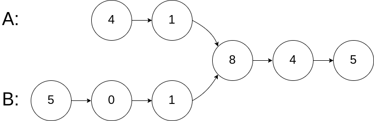
Example 1:

Input: intersectVal = 8, listA = [4,1,8,4,5], listB = [5,0,1,8,4,5], skipA = 2, skipB = 3
Output: Reference of the node with value = 8
Input Explanation: The intersected node's value is 8 (note that this must not be 0 if the two lists intersect). From the head of A, it reads as [4,1,8,4,5]. From the head of B, it reads as [5,0,1,8,4,5]. There are 2 nodes before the intersected node in A; There are 3 nodes before the intersected node in B.
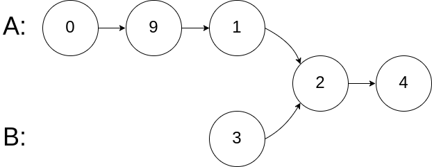
Example 2:

Input: intersectVal = 2, listA = [0,9,1,2,4], listB = [3,2,4], skipA = 3, skipB = 1
Output: Reference of the node with value = 2
Input Explanation: The intersected node's value is 2 (note that this must not be 0 if the two lists intersect). From the head of A, it reads as [0,9,1,2,4]. From the head of B, it reads as [3,2,4]. There are 3 nodes before the intersected node in A; There are 1 node before the intersected node in B.
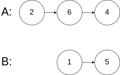
Example 3:

Input: intersectVal = 0, listA = [2,6,4], listB = [1,5], skipA = 3, skipB = 2
Output: null
Input Explanation: From the head of A, it reads as [2,6,4]. From the head of B, it reads as [1,5]. Since the two lists do not intersect, intersectVal must be 0, while skipA and skipB can be arbitrary values.
Explanation: The two lists do not intersect, so return null.
Notes:
- If the two linked lists have no intersection at all, return null.
- The linked lists must retain their original structure after the function returns.
- You may assume there are no cycles anywhere in the entire linked structure.
- Your code should preferably run in O(n) time and use only O(1) memory.
题目大意
找到 2 个链表的交叉点。
解题思路
这道题的思路其实类似链表找环。
给定的 2 个链表的长度如果一样长,都从头往后扫即可。如果不一样长,需要先“拼成”一样长。把 B 拼接到 A 后面,把 A 拼接到 B 后面。这样 2 个链表的长度都是 A + B。再依次扫描比较 2 个链表的结点是否相同。
代码
package leetcode import "fmt" /** * Definition for singly-linked list. * type ListNode struct { * Val int * Next *ListNode * } */ func getIntersectionNode(headA, headB *ListNode) *ListNode { //boundary check if headA == nil || headB == nil { return nil } a := headA b := headB //if a & b have different len, then we will stop the loop after second iteration for a != b { //for the end of first iteration, we just reset the pointer to the head of another linkedlist if a == nil { a = headB } else { a = a.Next } if b == nil { b = headA } else { b = b.Next } fmt.Printf("a = %v b = %v\n", a, b) } return a }