chapter-four/0200~0299/0297.Serialize-and-Deserialize-Binary-Tree
297. Serialize and Deserialize Binary Tree
题目
Serialization is the process of converting a data structure or object into a sequence of bits so that it can be stored in a file or memory buffer, or transmitted across a network connection link to be reconstructed later in the same or another computer environment.
Design an algorithm to serialize and deserialize a binary tree. There is no restriction on how your serialization/deserialization algorithm should work. You just need to ensure that a binary tree can be serialized to a string and this string can be deserialized to the original tree structure.
Clarification: The input/output format is the same as how LeetCode serializes a binary tree. You do not necessarily need to follow this format, so please be creative and come up with different approaches yourself.
Example 1:

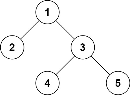
Input: root = [1,2,3,null,null,4,5]
Output: [1,2,3,null,null,4,5]
Example 2:
Input: root = []
Output: []
Example 3:
Input: root = [1]
Output: [1]
Example 4:
Input: root = [1,2]
Output: [1,2]
Constraints:
- The number of nodes in the tree is in the range
[0, 104]. 1000 <= Node.val <= 1000
题目大意
设计一个算法,来序列化和反序列化二叉树。并不限制如何进行序列化和反序列化,但是你需要保证二叉树可以序列化为字符串,并且这个字符串可以被反序列化成原有的二叉树。
解题思路
-
- 将给定的二叉树想象成一颗满二叉树(不存在的结点用 null 填充)。
-
- 通过前序遍历,可以得到一个第一个结点为根的序列,然后递归进行序列化/反序列化即可。
代码
package leetcode import ( "strconv" "strings" "github.com/halfrost/leetcode-go/structures" ) type TreeNode = structures.TreeNode type Codec struct { builder strings.Builder input []string } func Constructor() Codec { return Codec{} } // Serializes a tree to a single string. func (this *Codec) serialize(root *TreeNode) string { if root == nil { this.builder.WriteString("#,") return "" } this.builder.WriteString(strconv.Itoa(root.Val) + ",") this.serialize(root.Left) this.serialize(root.Right) return this.builder.String() } // Deserializes your encoded data to tree. func (this *Codec) deserialize(data string) *TreeNode { if len(data) == 0 { return nil } this.input = strings.Split(data, ",") return this.deserializeHelper() } func (this *Codec) deserializeHelper() *TreeNode { if this.input[0] == "#" { this.input = this.input[1:] return nil } val, _ := strconv.Atoi(this.input[0]) this.input = this.input[1:] return &TreeNode{ Val: val, Left: this.deserializeHelper(), Right: this.deserializeHelper(), } }