chapter-four/0600~0699/0669.Trim-a-Binary-Search-Tree
669. Trim a Binary Search Tree
题目
Given the root of a binary search tree and the lowest and highest boundaries as low and high, trim the tree so that all its elements lies in [low, high]. Trimming the tree should not change the relative structure of the elements that will remain in the tree (i.e., any node's descendant should remain a descendant). It can be proven that there is a unique answer.
Return the root of the trimmed binary search tree. Note that the root may change depending on the given bounds.
Example 1:

Input: root = [1,0,2], low = 1, high = 2
Output: [1,null,2]
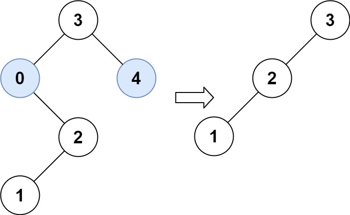
Example 2:

Input: root = [3,0,4,null,2,null,null,1], low = 1, high = 3
Output: [3,2,null,1]
Example 3:
Input: root = [1], low = 1, high = 2
Output: [1]
Example 4:
Input: root = [1,null,2], low = 1, high = 3
Output: [1,null,2]
Example 5:
Input: root = [1,null,2], low = 2, high = 4
Output: [2]
Constraints:
- The number of nodes in the tree in the range
[1, 10^4]. 0 <= Node.val <= 10^4- The value of each node in the tree is unique.
rootis guaranteed to be a valid binary search tree.0 <= low <= high <= 10^4
题目大意
给你二叉搜索树的根节点 root ,同时给定最小边界low 和最大边界 high。通过修剪二叉搜索树,使得所有节点的值在[low, high]中。修剪树不应该改变保留在树中的元素的相对结构(即,如果没有被移除,原有的父代子代关系都应当保留)。 可以证明,存在唯一的答案。所以结果应当返回修剪好的二叉搜索树的新的根节点。注意,根节点可能会根据给定的边界发生改变。
解题思路
- 这一题考察二叉搜索树中的递归遍历。递归遍历二叉搜索树每个结点,根据有序性,当前结点如果比 high 大,那么当前结点的右子树全部修剪掉,再递归修剪左子树;当前结点如果比 low 小,那么当前结点的左子树全部修剪掉,再递归修剪右子树。处理完越界的情况,剩下的情况都在区间内,分别递归修剪左子树和右子树即可。
代码
package leetcode import ( "github.com/halfrost/leetcode-go/structures" ) // TreeNode define type TreeNode = structures.TreeNode /** * Definition for a binary tree node. * type TreeNode struct { * Val int * Left *TreeNode * Right *TreeNode * } */ func trimBST(root *TreeNode, low int, high int) *TreeNode { if root == nil { return root } if root.Val > high { return trimBST(root.Left, low, high) } if root.Val < low { return trimBST(root.Right, low, high) } root.Left = trimBST(root.Left, low, high) root.Right = trimBST(root.Right, low, high) return root }