chapter-four/0900~0999/0958.Check-Completeness-of-a-Binary-Tree
958. Check Completeness of a Binary Tree
题目
Given the root of a binary tree, determine if it is a complete binary tree.
In a complete binary tree, every level, except possibly the last, is completely filled, and all nodes in the last level are as far left as possible. It can have between 1 and 2h nodes inclusive at the last level h.
Example 1:

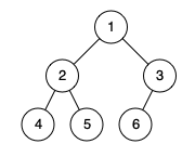
Input: root = [1,2,3,4,5,6]
Output: true
Explanation: Every level before the last is full (ie. levels with node-values {1} and {2, 3}), and all nodes in the last level ({4, 5, 6}) are as far left as possible.
Example 2:

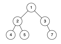
Input: root = [1,2,3,4,5,null,7]
Output: false
Explanation: The node with value 7 isn't as far left as possible.
Constraints:
- The number of nodes in the tree is in the range
[1, 100]. 1 <= Node.val <= 1000
题目大意
给定一个二叉树,确定它是否是一个完全二叉树。
百度百科中对完全二叉树的定义如下:
若设二叉树的深度为 h,除第 h 层外,其它各层 (1~h-1) 的结点数都达到最大个数,第 h 层所有的结点都连续集中在最左边,这就是完全二叉树。(注:第 h 层可能包含 1~ 2h 个节点。)
解题思路
- 这一题是按层序遍历的变种题。
- 判断每个节点的左孩子是否为空。
- 类似的题目,第 102,107,199 题都是按层序遍历的。
代码
package leetcode import ( "github.com/halfrost/leetcode-go/structures" ) // TreeNode define type TreeNode = structures.TreeNode /** * Definition for a binary tree node. * type TreeNode struct { * Val int * Left *TreeNode * Right *TreeNode * } */ func isCompleteTree(root *TreeNode) bool { queue, found := []*TreeNode{root}, false for len(queue) > 0 { node := queue[0] //取出每一层的第一个节点 queue = queue[1:] if node == nil { found = true } else { if found { return false // 层序遍历中,两个不为空的节点中出现一个 nil } //如果左孩子为nil,则append进去的node.Left为nil queue = append(queue, node.Left, node.Right) } } return true }