chapter-four/1300~1399/1305.All-Elements-in-Two-Binary-Search-Trees
1305. All Elements in Two Binary Search Trees
题目
Given two binary search trees root1 and root2.
Return a list containing all the integers from both trees sorted in ascending order.
Example 1:

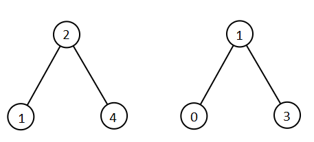
Input: root1 = [2,1,4], root2 = [1,0,3]
Output: [0,1,1,2,3,4]
Example 2:
Input: root1 = [0,-10,10], root2 = [5,1,7,0,2]
Output: [-10,0,0,1,2,5,7,10]
Example 3:
Input: root1 = [], root2 = [5,1,7,0,2]
Output: [0,1,2,5,7]
Example 4:
Input: root1 = [0,-10,10], root2 = []
Output: [-10,0,10]
Example 5:

Input: root1 = [1,null,8], root2 = [8,1]
Output: [1,1,8,8]
Constraints:
- Each tree has at most
5000nodes. - Each node's value is between
[-10^5, 10^5].
题目大意
给你 root1 和 root2 这两棵二叉搜索树。请你返回一个列表,其中包含 两棵树 中的所有整数并按 升序 排序。.
提示:
- 每棵树最多有 5000 个节点。
- 每个节点的值在 [-10^5, 10^5] 之间。
解题思路
- 给出 2 棵二叉排序树,要求将 2 棵树所有节点的值按照升序排序。
- 这一题最暴力简单的方法就是把 2 棵树的节点都遍历出来,然后放在一个数组里面从小到大排序即可。这样做虽然能 AC,但是时间复杂度高。因为题目中给的二叉排序树这一条件没有用上。由于树中节点本来已经有序了,所以题目实质想要我们合并 2 个有序数组。利用中根遍历,把 2 个二叉排序树的所有节点值都遍历出来,遍历出来以后就是有序的。接下来再合并这两个有序数组即可。合并 2 个有序数组是第 88 题。
代码
// 解法一 合并排序 func getAllElements(root1 *TreeNode, root2 *TreeNode) []int { arr1 := inorderTraversal(root1) arr2 := inorderTraversal(root2) arr1 = append(arr1, make([]int, len(arr2))...) merge(arr1, len(arr1)-len(arr2), arr2, len(arr2)) return arr1 } // 解法二 暴力遍历排序,时间复杂度高 func getAllElements1(root1 *TreeNode, root2 *TreeNode) []int { arr := []int{} arr = append(arr, preorderTraversal(root1)...) arr = append(arr, preorderTraversal(root2)...) sort.Ints(arr) return arr }