chapter-four/1700~1799/1721.Swapping-Nodes-in-a-Linked-List
1721. Swapping Nodes in a Linked List
题目
You are given the head of a linked list, and an integer k.
Return the head of the linked list after swapping the values of the kth node from the beginning and the kth node from the end (the list is 1-indexed).
Example 1:

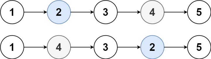
Input: head = [1,2,3,4,5], k = 2
Output: [1,4,3,2,5]
Example 2:
Input: head = [7,9,6,6,7,8,3,0,9,5], k = 5
Output: [7,9,6,6,8,7,3,0,9,5]
Example 3:
Input: head = [1], k = 1
Output: [1]
Example 4:
Input: head = [1,2], k = 1
Output: [2,1]
Example 5:
Input: head = [1,2,3], k = 2
Output: [1,2,3]
Constraints:
- The number of nodes in the list is
n. 1 <= k <= n <= 10^50 <= Node.val <= 100
题目大意
给你链表的头节点 head 和一个整数 k 。交换 链表正数第 k 个节点和倒数第 k 个节点的值后,返回链表的头节点(链表 从 1 开始索引)。
解题思路
- 这道题虽然是 medium,但是实际非常简单。题目要求链表中 2 个节点的值,无非是先找到这 2 个节点,然后再交换即可。链表查询节点需要 O(n),2 次循环找到对应的 2 个节点,交换值即可。
代码
package leetcode import ( "github.com/halfrost/leetcode-go/structures" ) // ListNode define type ListNode = structures.ListNode /** * Definition for singly-linked list. * type ListNode struct { * Val int * Next *ListNode * } */ func swapNodes(head *ListNode, k int) *ListNode { count := 1 var a, b *ListNode for node := head; node != nil; node = node.Next { if count == k { a = node } count++ } length := count count = 1 for node := head; node != nil; node = node.Next { if count == length-k { b = node } count++ } a.Val, b.Val = b.Val, a.Val return head }